전체 글 84

침입 탐지

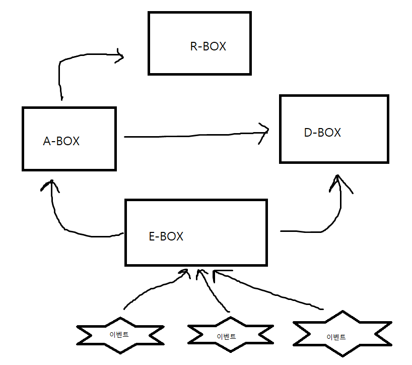
IDS구조와 snort 네트워크 기반 → 패킷을 기반으로해서 침임을 탐지 판단함.호스트 기반 → 로그 정보를 기반으로 침입을 탐지 판단함. IDS(Intrusion Detection System) 시스템에서 snort 는 A-BOX에 해당한다. R-BOX를 강화시키고 여러가지 보안 기능을 포함하는 시스템을 IPS(Intrusion Prevention System)라 한다. A-BOXㄴ 현재 침입이 있는지 없는지 판단을 함. R-BOXㄴ 어케 대응을 할것이냐는 여기서 한다. • E-box : daq(Data AcQuisition system)ㄴ 데이터를 가공하는거 까진 함. • D-box : barnyard2, MySQLㄴ 데이타베이스(침입과 관련된 여러가지 이벤트를 저장하는 것.)ㄴ 침입을 재현할수 있..

카테고리 없음 2025.11.06

DOS 공격

DoS(Denial of Service, 서비스 거부)• 공격 대상이 수용할 수 있는 능력 이상의 정보를 제공하거나, 사용자 또는 네트워크의 용량을 초과시켜 정상적으로 작동하지 못하게 하는 공격파괴 공격 : 디스크, 데이터, 시스템 파괴시스템 자원 고갈 공격 : CPU, 메모리, 디스크의 사용에 과다한 부하 가중네트워크 자원 고갈 공격 : 쓰레기 데이터로 네트워크의 대역폭 고갈➢ DDoS(Distributed Denial of Service)• DoS 공격의 업그레이드판• 1999년 8월 17일에 미네소타 대학에서 대대적으로 DDoS 공격이 일어나 CNN, Yahoo, NBC 같은 대규모 사이트를 마비시킴➢ Ping of Death• ping을 이용하여 ICMP 패킷을 정상 크기보다 아주 크게 만드는 것..

카테고리 없음 2025.11.06

icmp redirect

예) 공격자가 대상 컴퓨터에 naver로 통신하는건 라우터말고 나를 거쳐서 통신해! 라는거 icmp_redir 사용 icmp_redir [게이트웨이] [공격 대상] [외부] [공격자주소] kaliwget 192.168.10.11/data/down/security/icmp_redir.cgcc -o icmp_redir icmp_redir.c./icmp_redir 192.168.11.1 192.168.11.7 203.248.252.2 192.168.11.36 window xpping 203.248.252.2route print203.248.252.2가 떠야한다. 와이어샤크로 패킷분석 00 0c 29 63 9f d0 00 0c 29 c6 9f c0 08 00 45 0000 38 0c 1b 00 00 40..

카테고리 없음 2025.10.27

터널링, 은닉채널

터널링ssh는 암호화가 되어있어서 무슨내용인지 볼수없다.그래서 세션을 통해서만 인터넷 연결이 가능하다.naver패킷을 캡쳐중인데도 터널링을 해서 패킷이 올라오지 않는다.만약 세션을 닫으면 인터넷이 연결되지 않는다. 은닉채널 ishish(백도어)를 이용한 은닉통신 ish는 ishd(데몬)과 ish(클라이언트)프로그램을 이용한 은닉 채널 통신 프로그램이다. • ish는 icmp 메시지만을 이용한다. • 세션이 없음으로 방화벽을 우회할수 있다wget 192.168.10.11/data/down/security/ish-v0.2.tartar xvfz ish-v0.2.tar.gz다운 받아서 압축을 푼다.서버쪽(centos)./ishd클라이언트(kali)./ish 192.168.11.17접속이 되면 클라이언트에서..

카테고리 없음 2025.10.27

실습 서버 만들기

1.서버 만들기 nat영역에 dmz네트워크 만들기(12.###). 리눅스 3대 만들기 1 : web(12.11), 2 : dns(12.13), 3 : ids(12.19) window(0.146), 오라클 서버(0.11) router linux 192.168.11.254 네트워크 어뎁터 2개 추가. ip : 192.168.12.1 ip : 192.168.0.1 web 192.168.12.11 오라클 Client 설치 dnf install -y wget wget https://download.oracle.com/otn_software/linux/instantclient/1925000/oracle-instantclient19.25-basic-19.25.0.0.0-1.x86_64.rpmwget https:/..

카테고리 없음 2025.10.23

오라클 프로파일

프로파일패스워드, 리소스에 대해 담고 있다.ㄴ 한군대에서 관리한다. 횟수 : 비번을 몇번 바꾸기 전까지는 했던 비번 못씀기간 : 이전 패스워드 쓰려면 일정 기간이 지나야함.만료 : 일정시간 쓰면 비번이 만료되게 해서 비번 바꾸게 하는거.연장은 x, 유예기간을 줄수는 있다.(시간 줬는데도 안바꾸면 계정이 락걸림.) 암호 계정 잠금.FAILED_LOGIN_ATTEMPTS PASSWORD_LOCK_TIME 암호 만기일 기능 및 암호 만기PASSWORD_LIFE_TIME PASSWORD_GRACE_TIMEㄴ 유예기간. 암호 기록PASSWORD_REUSE_TIME PASSWORD_REUSE_MAX 암호 확인PASSWORD_VERIFY_FUNCTION CREATE PROFILE grace_5 LIMITFA..

카테고리 없음 2025.10.22

오라클 테이블 스페이스

Tablespace 헤더블락 → 데이터파일관련한 블럭이라 사용못함.나머지 블락블럭을 줄때 붙어있는블락을 한꺼번에 주는 단위 → extent단위(연속된 블럭으로 구성되어있다.)ㄴ 딕셔너리 bit map 에서 관리하는 방법insert 는 h/m왼쪽에서만 저장이 된다. 풀 테이블 스켄 → h/m 까지 읽음.인덱스 스켄 블럭 사이즈 → IO기본 단위 업뎃이 데이터가 큰방향으로 하면 나눠서 저장할수도 있다.pctfree → 블럭의 빈공간 만들어주기 Tablespace와 Data file 상태 조회 사용 명령어SQL> SELECT tablespace_name, status, contents,2 extent_management, segment_space_management 3 FROM dba_tables..

카테고리 없음 2025.10.22

오라클 데이터파일

데이터파일을 조작할 떄 테이블스페이스로 조작한다.ㄴ 특정 테이블페이스에 저장되어있다. 데이타 딕셔너리가 오라클 관리에 핵심적이다. 딕셔너리 테이블 → 데이터파일에 저장된 놈들. 데이터파일은 테이블스페이스단위로 묶어서 사용함.ㄴ 일반 사용자는 테이블스페이스를 사용함. 테이블스페이스만들때 데이터파일이 생성됨. 데이터파일을 삭제되는 명령어가 없음.ㄴ 테이블스페이스 지우면 그 안에있는 데이터파일이 삭제된다. 테이블스페이스는 하나이상의 데이터파일로 구성되어있.반드시 어떤 특정 스페이스에 속해있어야 한다. 테이블스페이스 종류 ------------------------------------SYSTEM → 우리가 만들거나 삭제가 불가능. db가 생성되면 만들어짐. db가 지워지면 지워짐.ㄴ 데이터 딕셔너리..

카테고리 없음 2025.10.22

오라클 리두로그 파일

리두로그 파일ㄴ 어느 한 부분의 장애로 인한 데이터베이스 정보의 손실을 막을 수 있는거 풀백업 : 이전시점으로 돌아가지 않아도 될때 사용. 백업 할때 : 특정시점에서 데이터가 완전 무결하기때문에 전으로 돌아갈필요가 없어요 할때 니드로그는 사용을 그룹단위로 한다.최소한의 그룹은 3개 ,맴버는 그룹당 2개씩ㄴ 한 그룹에서만 사용이 가능하다.그룹안에 멤버는 미러셋이다. → 날라가면 큰일나기 때문에. 같은그룹 있는 멤버는 다른 디스크에 있어야 한다.그룹간에 멤버의 개수는 차이가 있으면 안된다. 니드로그는 같은 파일에 들어가면 안된다.ㄴ 데이터파일을 복구하는데 사용하기 때문. 리두로그 파일은 순환하는 방식. 로그스위치 = 현재 사용 중인 리두 로그 파일 그룹이 가득 차서 LGWR 프로세스가 다음 리두..

카테고리 없음 2025.10.16

오라클 컨트롤 파일

컨트롤 파일. 컨트롤 파일은 매우 중요한 파일 → 데이터베이스 생성할때 만들어짐.(리커버리의 재료) 이게 날라가면 재대로 복구 못할수 있다.(db날라간다고 생각하셈.)ㄴ 그래서 똑같은걸 여러개 동시에 운영한다.(미러 셋 : 안전성을 높이는 것)ㄴ 미러셋을 디스크 하나에 두는게 아니라 반드시 여러 디스크에 분산해서 놓는거다.ㄴ 오라클 운영할떄 최소 물리적인 디스크가 최소 5개 이상 있어야 한다. 테이블 스페이스- 모든 테이블은 데이터파일에 저장되어있다. 사용자는 데이터파일 사용 불가능. 사용자는 테이블 스페이스를 사용. 오라클은 테이블의 크기에 제한이 없다.오라클은 죽은다음 파일을 옮기고,수정할수있다.컨트롤 파일은 죽은다음 해야함 무조건. SPFILE 사용시 제어 파일 다중화 1. SPFI..

카테고리 없음 2025.10.16